본문 바로가기

Programming/알고리즘

[자료구조] 트리, 그래프

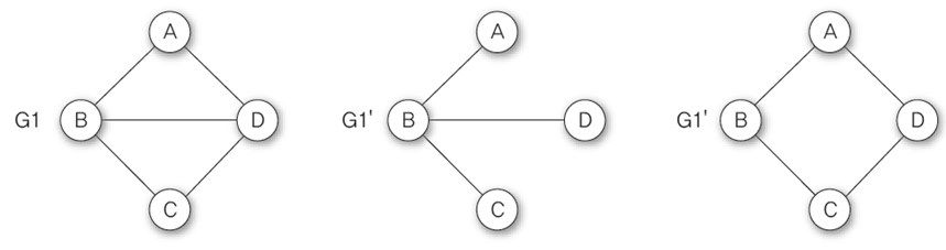
트리와 그래프

 

(좌) 트리, (우) 그래프

(그래프 ⊃ 트리 로도 볼 수 있음)

 

 

  • 공통점

노드와 노드 간을 연결하는 간선으로 구성된 자료구조

 

 

 

  • 차이점
  트리 그래프
모델 계층 모델 네트워크 모델
방향 방향 무방향, 방향, 양방향
순환 비순환 순환, 비순환, 자기순환
간선 수 노드 수 - 1 자유
기타 루트 노드, 부모-자식 노드 개념 有  

 

 

 

트리

 

  • 구성 요소 및 용어

Node (노드) : 트리를 구성하는 각각의 요소
Edge (간선) : 노드와 노드를 연결하는 선
Root Node (루트 노드) : 트리 구조 최상위에 있는 노드
Parent Node (부모 노드) : 자식 노드를 가진 노드
Chlid Node (자식 노드) : 부모 노드를 가진 노드
Sibling Node (형제 노드) : 같은 부모를 가지는 노드
Terminal Node (단말 노드) : 자식 노드가 없는 노드 (=Leaf Node, External Node, Outer Node)
Internal Node (비단말 노드) : 자식 노드가 있는 노드 (=Branch Node, Internal Node, Inner Node)

 

Depth (깊이) : 어떤 노드에서 루트 노드까지 가장 긴 경로의 간선 수
Height (높이) : 어떤 노드에서 단말 노드까지 가장 긴 경로의 간선 수
Level : 루트 노드로부터 임의의 노드까지의 깊이 (루트 노드의 레벨 = 1)
Degree : 노드의 자식 수 (=서브 트리의 수)
Path : 한 노드에서 다른 한 노드 사이에 놓인 노드들 순서
Path Length : 해당 경로에 있는 총 노드 수
Size : 자신을 포함한 자손의 노드 수
Width : 해당 레벨에 있는 노드 수
Breadth : 리프 노드의 수
Distance : 두 노드 사이 최단 경로에 있는 간선 수
Order : 부모 노드가 가질 수 있는 최대 자식 수 (이진 트리는 order = 2)

 

 

 

  • 특징

방향성 존재하는 비순환 연결 그래프

트리 내에 또 다른 트리(서브 트리)가 있는 재귀적 자료구조

일반적으로 삽입, 삭제 수행 시 O(logN)의 낮은 시간복잡도 가짐

 

 

 

  • 순회 (노드, 간선 탐색)

1. 전위 레벨 순회 (Pre-order Traversal) (=DFS) : 루트 노드 → 자식 노드 탐색

 

2. 중위 레벨 순회 (In-order Traversal) (=DFS) : 왼쪽 자식 노드 → 루트 노드 → 오른쪽 자식 노드 탐색

 

3. 후위 레벨 순회 (Post-order Traversal) (=DFS) : 왼쪽 자식 노드  오른쪽 자식 노드  루트 노드 탐색

 

4. 레벨 순회 (Level-order Traversal) (=BFS) : 루트 노드 → 다음 레벨 노드 탐색

 

 

 

  • 구현 방법

1. 배열

 

장점 : 노드에 접근하는 속도 빠름, 구현 편리

단점 : 편향 트리의 경우 메모리 낭비 발생, 배열 크기 이상의 노드 추가 불가

 

 

2. 인접 리스트

public class Node {
    int value;
    Node left;
    Node right;
}

 

장점 : 삽입, 삭제 편리, 노드 수에 제한 X (포인터로 연결됨)

단점 : 접근 속도 느림

 

 

 

  • 종류

이진 트리, 이진 탐색 트리

 

=> 하위 카테고리가 많아 각 종류마다 게시글 작성하여 설명할 예정

(이진 트리 유형 : https://frombasics.tistory.com/266)

 

 

 

 

그래프

 

  • 구성 요소 및 용어

Vertex (정점) : 데이터가 저장되는 객체 (=Node)
Edge (간선) : 정점을 연결하는 선 (=Link, Branch)
Adjacent Vertex (인접 정점) : 간선에 의해 직접 연결된 정점


Simple Path (단순 경로) : 경로 중에서 반복되는 정점이 없는 경우
Degree (차수) : 무방향 그래프에서 하나의 정점에 인접한 정점의 수
In-degree (진출 차수) : 방향 그래프에서 외부로 향하는 간선의 수
Out-degree (진입 차수) : 방향 그래프에서 외부에서 들어오는 간선의 수
Path Length (경로 길이) : 경로를 구성하는데 사용된 간선의 수
Cycle (사이클) : 단순 경로의 시작 정점과 종료 정점이 동일한 경우

 

 

 

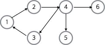
1. DFS (Depth First Search)

 

2. BFS (Breadth First Search)

 

 

 

  • 구현 방법

1. 인접 행렬

 

그래프의 노드를 2차원 배열로 표현 (노드 간에 직접 연결되면 1, 아니면 0 삽입)

장점 :
두 정점에 대한 간선 조회 시 O(1)라는 낮은 시간복잡도 가짐

차수 구할 시 인접 행렬 내 특정 행 값을 더하면 되므로 O(n)의 시간복잡도 가짐
인접리스트에 비해 구현 편리

 

단점 :
모든 간선 파악해야 할 시 O(n^2)라는 높은 시간복잡도 가짐
2차원 배열로 인한 메모리 공간 낭비

 

 

2. 인접 리스트

 

그래프의 노드를 리스트로 표현 (노드 간에 직접 연결 시 노드의 인덱스에 해당 노드(리스트) 삽입)

 

장점 :
정점들의 연결 정보 탐색 시 O(n)의 시간복잡도 가짐 
필요한 만큼의 메모리 공간만 사용

 

단점 :
특정한 두 정점 간선 조회 시 인접 행렬에 비해 시간 오래 소요됨 (O(E),  E= 간선 개수)
구현이 비교적 복잡함

 

 

 

  • 종류

1. 무방향 그래프 : 간선에 방향이 없는 그래프

 

2. 방향 그래프 : 간성에 방향성이 존재해 지정된 방향대로만 이동 가능한 그래프

 

3. 완전 그래프 : 모든 정점들이 서로 연결되어 최대 간선 수를 갖는 그래프

 

4. 부분 그래프 : 기존 그래프에서 일부 정점 ,간선 제외해 생성한 그래프

 

5. 가중치(네트워크) 그래프 : 간선에 가중치 할당한 그래프

 

6. 연결 그래프 : 무방향 그래프에서 모든 정점에 대해 간선 존재하는 그래프

 

7. 비연결(단절) 그래프 : 무방향 그래프에서 특정 정점에 대한 간선이 존재하지 않는 그래프

 

 

8. 순환(사이클) 그래프 : 단순 경로에서 시작 정점과 종료 정점이 동일한 그래프

 

9. 비순환 그래프 : 사이클이 존재하지 않는 그래프 (시작 정점, 종료 정점 다름)

 

 

 

출처 :